Home
WM Calendar
Online Store
2026 Officers
About Us
Become a Mason
Grand Lodge
Philanthropy
Member Portal
Pay Dues
Corinthian Lodge No. 93 A.F. & A.M.
Making Good Men Better Since 1850
Home
WM Calendar
Online Store
2026 Officers
About Us
Become a Mason
Grand Lodge
Philanthropy
Member Portal
Pay Dues
Member Portal
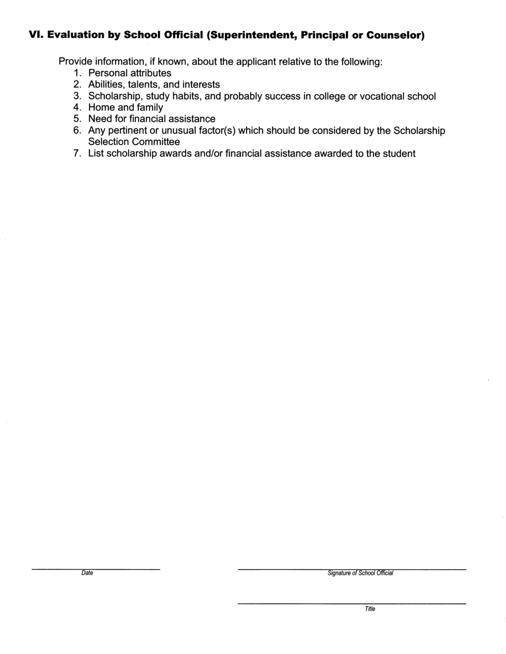
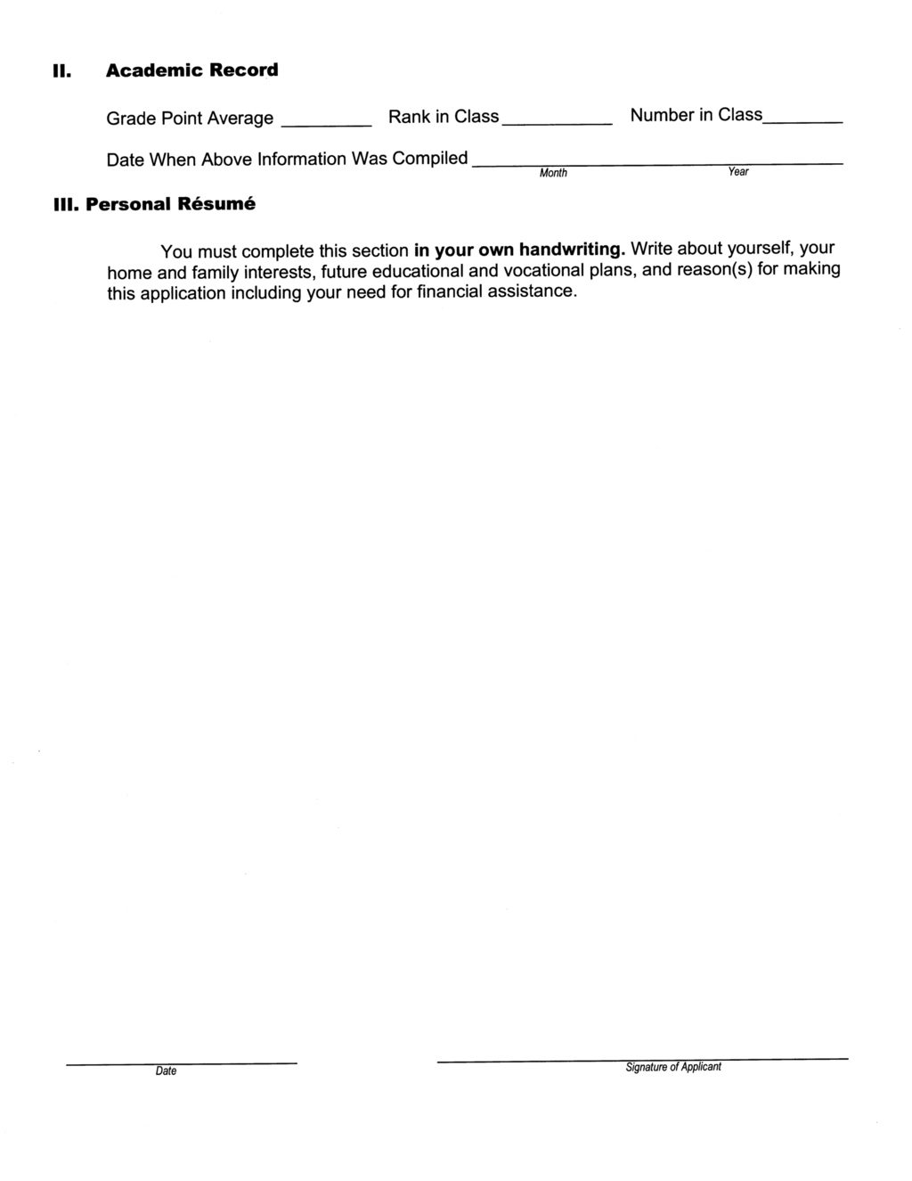
Masonic Scholarship Application